
1. 概述
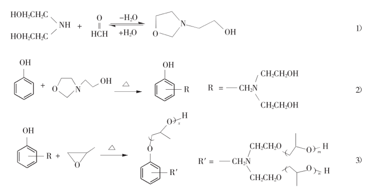
曼尼希聚醚多元醇是一类由醇胺化合物、醛与酚类化合物通过曼尼希反应制备得到的聚醚多元醇。与普通的硬泡聚醚多元醇与相比,曼尼希聚醚多元醇的特点是具有芳香环结构,与聚合MDI具有较好的相容性以及本身具有的自催化活性。曼尼希聚醚多元醇在硬质聚氨酯泡沫领域已应用多年,由于其自催化和阻燃的特性通常用于大部分集中于喷涂领域。其常见的合成路线如下[1]:

通常市场上销售较多的为石油基苯酚作为活泼氢参与曼尼希反应从而得到的聚醚多元醇,此类产品成本较高、阻燃效果不理想、粘度高等不利因素限制其应用,同时石油基材料使用生命周期中碳排放较多不利于碳中和的路线。佳化化学Purabiol-RC系列曼尼希多元醇通过利用生物基材料取代石油基任基酚,充分利用生物基材料资源,其生物基含量大于50%,其碳足迹远低于普通曼尼希聚醚。

2. 产品介绍

3. 产品特性
利用可再生生物基含有独特的长脂肪族链结构和刚性苯环结构,与典型的聚醚多元醇和壬基酚曼尼希聚醚相比,佳化Purabiol RC系列曼尼希多元醇具有:
a. 优异的阻燃性能可赋予聚氨酯泡沫良好的阻燃等级
b. 强耐水解性能,可增加硬泡组合料储存稳定性
c. 相比于石油基曼尼希和普通聚醚有较高的戊烷相容性
d. 良好的高低温尺寸稳定性
e. 较快的反应活性
f. 非常低的粘度,远低于普通曼尼希聚醚
g. 成本上的优势
4. 聚氨酯组合料性能测试
4.1 Purabiol RC曼尼希聚醚多元醇 VS 壬基酚曼尼希聚醚多元醇
我们通过比较佳化Purabiol RC系列曼尼希聚醚多元醇和普通壬基酚曼尼希聚醚多元醇的粘度和对戊烷的相容性,其结果如下:

4.2 佳化Purabiol RC曼尼希聚醚多元醇阻燃性

通过典型的聚氨酯硬质泡沫阻燃配方加入等份的曼尼希聚醚,我们比较壬基酚曼尼希聚醚多元醇和Purabiol RC系列曼尼希聚醚多元醇,发现佳化Purabiol RC曼尼希聚醚多元醇在阻燃方面表现更加优异,更加突出。